链表
203. 移除链表元素
- 如果不引入虚拟头节点的话。需要区分头节点的处理方式和中间节点的处理方式。
- 如果引入虚拟头节点,一切都可以按照中间节点的处理方式。
707. 设计链表
可以自己创建一个数据结构ListNode,我可太牛逼了直接再MyulinkedList上梭哈 自己创一个ListNode的话,那就可以存size了,时间复杂度会友好!同样也可以存一个vhead,一切都变得很顺利 注意细心一点,以后可以重复练练
206. 反转链表
- 每次对接两个节点,一个pre,一个cur
- cur.next预先存起来
- 从第一个元素开始,也就是pre=null, cur=head
- 到最后元素的后一个结束,也就是pre=lastnode, cur=null
24. 两两交换链表中的节点
比较简单,要处理1和2的话,就要找到0
- 注意.next.next的有效性判断,避免空指针异常
141. 环形链表
此题实际上是一个数学题。可以通过简单的画图推导发掘关系。
- 有环 --> 快慢指针会相遇
- 入口 --> a从相遇处开始,b从head开始,两个一步步走,终究会在入口处遇见 (由画图推导得来的关系)
19. 删除倒数第n个节点
找倒数第n个,可以通过快慢指针法来找,快指针先移动n步,然后快慢指针同时移动直至快指针移动到末尾。
- 要删倒数第n个,那么最终应该找到倒数第(n+1)个节点!
707. 设计链表
- 描述:实现链表的基本操作,必做题
- 注意:其实没啥,主要是有很多边界情况要多次提交,哪里错补哪里
83. 删除排序链表中的重复元素
- 描述: 链表[1,1,2] -> [1,2]
- 注意:一旦遇到下一个和下下个值一样,那就跳过下下个,直接指向下下下...
82. 删除排序链表中的重复元素II
- 描述: 链表[1,1,2] -> [2]
- 注意:一旦遇到下一个和下下个值一样,那就一直删除到不一样为止
206. 反转链表
- 描述:整个链表反转[1,2,3,4,5] -> [5,4,3,2,1]
- 实现:pre=null, cur=head,然后一个个逆向
nxt = cur.nextcur.next = prepre = curcur = nxt
92. 反转链表II
- 描述:反转部分链表[1,2,3,4,5] -> [1,4,3,2,5]
- 实现:找反转区域,区域内以206的思路反转
- 注意:最后拼接最好画个图
allPreNode.next.next = allEndNodeallPreNode.next = pre
141. 环形链表
- 描述:判断链表是否有环
- 实现:快慢指针,快指针走两步,慢指针走一步
while(fast&&fast.next){...}无环会跳出,有环相遇判断跳出
142. 环形链表II
- 描述:判断并返回环形链表的入口节点
- 实现:在141的基础上,从相遇点开始,两个慢指针一个从头,一个从相遇点同步走,这俩相遇的时候就是入环的地方

19. 删除链表的倒数第N个节点
- 快慢指针,注意索引
876. 链表的中间节点
- 快慢指针,注意索引
2. 两数相加
- 描述:这种题目都不可能转为number再相加,只能按digit相加进位
- 实现:两个链表同时遍历,注意进位的处理,外置一个carry变量,每次都更新js
let cur1 = l1, cur2 = l2 let head = new ListNode(-1) let cur = head let carry = 0 // 进位 ! while (cur1 || cur2 || carry) { // 算好digit和carry const val1 = cur1 ? cur1. val : 0 const val2 = cur2 ? cur2. val : 0 const sum = val1 + val2 + carry carry = sum / 10 | 0 const digit = sum % 10 cur.next = new ListNode(digit) cur = cur.next if (cur1) cur1 = cur1. next if (cur2) cur2 = cur2. next } return head.next
146. LRU Cache
体量很大的一题
- 哈希表 + 双向链表
- 链表中,离head越近表示越新
- 固定的 demmyHead + dummyTail, 通过头插法保持头尾固定
- dummyTail 实现了 O(1) 查找链表末尾元素
- 实现的时候要有提取公共方法的意识,比如
deleteNodeheadInsertmove2head - 不要遗漏了 map 的操作
25. K 个一组反转链表
dummyHead- 启一个 while true
- 找 k 个作为一个 group,找不到的时候退出循环
- 头插法反转,每次只操作 k - 1个节点
- 注意 group 之间的连接操作
23. 合并 K 个升序链表
给一个链表数组,每个链表都是升序的,把他们合并为一个升序链表。
- 合并两个有序链表的 function
- 朴素两两合并---> 进阶归并合并
js
// 方法二:分治合并
function merge(lists, left, right) {
if (left === right) return lists[left]
if (left > right) return null
const mid = (left + right) / 2 | 0
const lpart = merge(lists, left, mid)
const rpart = merge(lists, mid + 1, right)
return merge2list(lpart, rpart)
}
return merge(lists, 0, lists.length - 1)143. 重排链表
给定一个单链表 L 的头节点 head ,单链表 L 表示为: L0 → L1 → … → Ln - 1 → Ln 变为 L0 → Ln → L1 → Ln - 1 → L2 → Ln - 2 → …
方法一:时间 O(n2) 每次找尾巴,然后头插入。
方法二: 找中间节点 + 反转后半部分 + 合并两链表
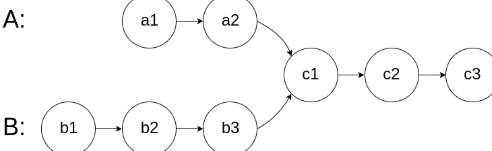
160. 相交链表
如下图,找到相交节点。
方法一:哈希表 A 先遍历一遍,构建哈希表,注意哈希表是存整个 node , B 再走一遍,有相同的话,就是相交节点。
方法二:双指针同时走,终点换赛道,总会相遇,null 也是一种相遇

js
var getIntersectionNode = function (headA, headB) {
let curA = headA
let curB = headB
while (curA != curB) {
if (curA) curA = curA.next
else curA = headB // 换赛道
if (curB) curB = curB.next
else curB = headA // 换赛道
}
return curA148. 排序链表
这题 O (n²) 会超时,采用归并排序实现。
- 注意:findMid 的时候返回 mid 的前一个,因为后面要从这个结点断开
- 注意:合并俩有序链表肯定是尾插法!不要头插法用上头了!
- 注意:归并排序的整体代码结构
js
function findMid(head){
// ...
找中间结点用于分割,注意返回 prev !
}
function merge(head1, head2){
// ...
合并两个有序链表,尾插法
}
function mergeSort(head){
// 递归终止条件
if(){}
// 分割
const mid = findMid()
const left = head
const right = mid.next
mid.next = null
return merge(mergeSort(left),mergeSort(right))
}